Master Directions

PDF - Reserve Bank of India (Standalone Primary Dealers) Directions, 2025 (Updated as on March 10, 2026) ()
Reserve Bank of India (Standalone Primary Dealers) Directions, 2025 (Updated as on March 10, 2026)

RBI/DOR/2025-26/366
DOR.FIN.REC.No.285/03-10-119/2025-26

November 28, 2025

Previous Versions

Reserve Bank of India (Standalone Primary Dealers) Directions, 2025 (Updated as on March 10, 2026)

Table of Contents
Chapter I – Preliminary
Chapter II – Registration
Chapter III – Capital Funds and Capital Requirements
Chapter IV – Sources and Application of Funds
Chapter V – Other Prudential Regulations
Chapter VI – Governance Issues – Corporate Governance
Chapter VII – Miscellaneous Instructions
Chapter VIII – Reporting Requirements
Chapter IX – Repeal and Other Provisions
Annex I
Annex II
Annex III
Annex IV

In exercise of the powers conferred under Section 45JA, 45K, 45L and 45M of the Reserve Bank of India Act, 1934 (2 of 1934), and of all powers enabling it in this behalf, the Reserve Bank, having considered it necessary in the public interest, and being satisfied that, for the purpose of enabling it to regulate the financial system to the advantage of the country so to do, and to prevent the affairs of any Standalone Primary Dealer (SPD) from being conducted in a manner detrimental to the interest of investors or in any manner prejudicial to the interest of such SPD, hereby issues to every SPD, the Directions hereinafter specified.

Chapter I – Preliminary

A. Short Title and Commencement

1. These Directions shall be called the Reserve Bank of India (Standalone Primary Dealers) Directions, 2025.

2. These directions shall come into force with immediate effect.

B. Applicability

3. These Directions shall apply to all Standalone Primary Dealers (SPDs) registered as Non-Banking Financial Company (NBFC) with the RBI.

4. These Directions consolidate the regulations as issued by Department of Regulation, Reserve Bank of India. However, any other Directions/ guidelines issued by any other Department of the Reserve Bank, as applicable to a SPD shall be adhered to, by it.

C. Applicability of other directions

5. Notwithstanding the applicability of Directions given above, the guidelines given in the following Directions, where not contradictory to these Directions, shall also be applicable to the SPDs, subject to layer-wise applicability:

(1) Reserve Bank of India (Non-Banking Financial Companies – Registration, Exemptions and Framework for Scale Based Regulation) Directions, 2025.

(2) Paragraph 7 to 9, 12 to 18, and 25 to 40 of Reserve Bank of India (Non-Banking Financial Companies – Governance) Directions, 2025.

(3) Paragraph 26 to 33 and paragraph 50 to 51 of Reserve Bank of India (Non-Banking Financial Companies – Undertaking of Financial Services) Directions, 2025.

(4) Reserve Bank of India (Non-Banking Financial Companies – Managing Risks in Outsourcing) Directions, 2025.

(5) Reserve Bank of India (Non-Banking Financial Companies – Know Your Customer) Directions, 2025.

(6) Paragraph 16 and 54 of Reserve Bank of India (Non-Banking Financial Companies – Prudential Norms on Capital Adequacy) Directions, 2025.

(7) Reserve Bank of India (Non-Banking Financial Companies – Financial Statements: Presentation and Disclosures) Directions, 2025 except paragraph 13 to 15 and 20.

(8) Paragraph 24 of Reserve Bank of India (Non-Banking Financial Companies - Concentration Risk Management) Directions, 2025.

(9) Reserve Bank of India (Non-Banking Financial Companies – Prudential Norms on Declaration of Dividends) Directions, 2025.

(10) Paragraph 6 to 8, 14, 15, 25 and 26 of Reserve Bank of India (Non-Banking Financial Companies – Miscellaneous) Directions, 2025.

(11) Reserve Bank of India (Non-Banking Financial Companies - Voluntary Amalgamation) Directions.

6. The provisions of these Directions shall be in addition to, and not in derogation of the provisions of any other laws, rules, regulations, or directions, for the time being in force.

7. SPD may make use of the ‘Guidance Note on Operational Risk Management and Operational Resilience, as amended from time to time.

D. Regulatory Structure under Scale Based Regulation for NBFCs

8. SPD shall always be placed in Middle Layer as per the regulatory structure under Scale Based Regulation for NBFCs as specified under Reserve Bank of India (Non-Banking Financial Companies – Registration, Exemptions and Framework for Scale Based Regulation) Directions, 2025.

E. Definitions

9. For the purpose of these Directions, unless the context otherwise requires:

(1) "Act" means the Reserve Bank of India Act, 1934;

(2) “Counterparty Credit Risk (CCR)” is the risk that the counterparty to a transaction could default before the final settlement of the transaction's cash flows. An economic loss would occur if the transactions or portfolio of transactions with the counterparty has a positive economic value at the time of default. CCR creates a bilateral risk of loss: the market value of the transaction can be positive or negative to either counterparty to the transaction. The market value is uncertain and can vary over time with the movement of underlying market factors.

(3) “Netting Set” is a group of transactions with a single counterparty that are subject to a legally enforceable bilateral netting arrangement and for which netting is recognised for regulatory capital purposes. Each transaction that is not subject to a legally enforceable bilateral netting arrangement that is recognised for regulatory capital purposes should be interpreted as its own netting set for the purpose of these rules. Cross-Product Netting, i.e. inclusion of transactions of different product categories (OTC derivative transactions and repo / reverse repo) within the same netting set, is not permitted.

(4) “Securities Financing Transactions (SFTs)” are transactions such as repurchase agreements, reverse repurchase agreements, security lending and borrowing and, collateralised borrowing and lending (CBLO), where the value of the transactions depends on market valuations and the transactions are often subject to margin agreements.

(5) “Subordinated Debt (SD)” means an instrument which is fully paid-up, unsecured, subordinate to the claims of other creditors, free of restrictive clauses, and shall not be redeemable at the initiative of the holder or without the consent of the Reserve Bank. SD instruments with an initial maturity of less than 5 years or with a remaining maturity of less than one year shall not be included as part of Tier 2 capital. SD instruments eligible to be reckoned as Tier 2 capital will be limited to 50 percent of Tier 1 capital. The issuance shall be in adherence to the Guidelines on SD Bonds (Tier 2 capital), as provided in Annex I. The SD instruments shall be subjected to progressive discount at the rates shown below:

Residual Maturity of Instruments Rate of Discount (%)
Less than one year 100
One year and more but less than two years 80
Two years and more but less than three years 60
Three years and more but less than four years 40
Four years and more but less than five years 20

(6) 1[“Tier 1 capital” means paid-up capital, statutory reserves and other disclosed free reserves including quarterly profits. Inclusion of quarterly profits shall be subject to the following conditions:

(i) The financial statements shall be subjected to limited review / audit on a quarterly basis by the statutory auditors.

(ii) Such profits shall be reduced by average dividend paid in the last three years and the amount which can be reckoned for inclusion would be arrived at as under:

EPt = NPt - 0.25 *D*t

Where:

EPt = Eligible profit up to quarter ‘t’ of the current financial year, t varies from 1 to 4

NPt = Net profit up to quarter ‘t’

D = average dividend paid for / pertaining to the last three financial years

Losses in the current year shall be fully deducted from Tier 1 capital.

Investment in subsidiaries (where applicable), intangible assets, losses in current accounting period, deferred tax asset and losses brought forward from previous accounting periods shall be deducted from the Tier 1 capital.]

Explanation:

(i) In case any SPD is having substantial interest / exposure (as defined for NBFCs) by way of loans and advances not related to business relationship in other Group companies, such amounts will be deducted from its Tier 1 capital.

(ii) SPDs shall not be required to deduct a Right-of-Use (ROU) asset (created in terms of Ind AS 116-Leases) from Owned Fund, provided the underlying asset being taken on lease is a tangible asset.

(7) “Tier 2 capital” includes the following:

(i) Undisclosed reserves and cumulative preference shares (other than those which are compulsorily convertible into equity). Cumulative preferential shares shall be fully paid-up and shall not contain clauses which permit redemption by the holder.

Note: Cumulative preference shares will accumulate any dividend that is not paid when due and no dividends can be paid on ordinary shares until the entire backlog of unpaid dividends on cumulative preference shares is cleared.

(ii) Revaluation reserves discounted at a rate of 55 per cent.

(iii) General provisions and loss reserves (to the extent these are not attributable to actual diminution in value or identifiable potential loss in any specific asset and are available to meet unexpected losses), up to a maximum of 1.25 per cent of total risk weighted assets.

(iv) Hybrid debt capital instruments, which combine certain characteristics of equity and debt.

(v) Subordinated debt.

10. Words or expressions used but not defined herein and defined in the RBI Act shall have the same meaning as assigned to them in the RBI Act. Any other words or expressions not defined in the RBI Act or any of the Directions issued by the Bank, shall have the meanings respectively assigned to them under the Companies Act, 1956 or Companies Act, 2013 (Act 18 of 2013) as the case may be.

Chapter II – Registration

A. Role of Board

11. The SPD shall put in place Board approved policies and establish periodic review mechanisms to ensure sound corporate governance. An illustrative list of such policies to be approved by the Board or its Committee(s) is provided below. The specific aspects to be addressed in these policies are detailed in the relevant paragraphs of these Directions.

(1) The methodology for internal assessment of capital.

(2) Policy for Inter Corporate Deposits (ICDs).

(3) Investment Policy.

(4) Policy on Fit and Proper Criteria of Directors.

(5) Compensation Policy.

(6) Policy to undertake and monitor the foreign exchange business.

(7) Policy regarding undertaking mutual funds distribution.

(8) Outsourcing Policy.

(9) Code of conduct for DSA / DMA / Recovery Agents.

12. An illustrative list of reviews to be carried out by the Board or its Committee(s) is provided below. The specific aspects to be addressed in these reviews are detailed in the relevant paragraphs of these Directions.

(1) Investment in non-G-Sec at least at quarterly intervals.

(2) Outsourcing strategies and arrangements for their continued relevance, and safety and soundness.

(3) Half yearly review of central records of material outsourcing.

(4) Progress made in putting in place a progressive risk management system and risk management policy and strategy followed by the SPD.

(5) Conformity with corporate governance standards.

(6) Ageing analysis of entries pending reconciliation with outsourced vendors to be placed before ACB.

B. Registration with the Reserve Bank

13. In exercise of the powers conferred under clause (b) of sub-section (1) of section 45-IA of the Reserve Bank of India Act, 1934 (Act 2 of 1934) and all the powers enabling it in that behalf, the Reserve Bank, hereby specifies ₹10 crore as the net owned fund (NOF) required for a non-banking financial company to commence or carry on the business of non-banking financial institution, except wherever otherwise a specific requirement as to NOF is prescribed by the Reserve Bank. Authorisation to act as a SPD is subject to the NBFC fulfilling the eligibility conditions as prescribed by Internal Debt Management Department of the Reserve Bank from time to time.

C. Investment from FATF non-compliant jurisdictions

14. SPD shall refer to paragraph 47 and 48 of Reserve Bank of India (Non-Banking Financial Companies – Registration, Exemptions and Framework for Scale Based Regulation) Directions, 2025.

Chapter III – Capital Funds and Capital Requirements

A. Capital Funds

15. Capital funds include Tier 1 and Tier 2 capital.

B. Minimum CRAR Ratio

16. SPDs are required to maintain a minimum Capital to Risk-Weighted Assets Ratio (CRAR) of 15 per cent on an ongoing basis.

C. Measurement of Risk Weighted Assets

17. The details of credit risk weights for various on-balance sheet and off-balance sheet items and methodology of computing the risk weighted assets for the credit risk is given below.

D. Capital Adequacy for Credit Risk

18. Credit risk is defined as the risk that a party to a contractual agreement or transaction will be unable to meet its obligations or will default on commitments.

D.1 Risk weights for calculation of CRAR

D.1.1 On-Balance Sheet Assets

19. All the on-balance sheet items are assigned percentage weights as per degree of credit risk. The value of each asset / item is to be multiplied by the relevant risk weight to arrive at risk adjusted value of the asset, as detailed below. The aggregate of the risk weighted assets will be taken into account for reckoning the minimum capital ratio.

Nature of asset/item Percentage weight
(i) Cash balances and balances in Current Account with RBI 0
(ii) Amounts lent in call / notice money market / other money market instruments of banks / Financial Institutions (FIs) including Certificate of Deposits (CDs) and balances in Current account with banks 20
(iii) Investments  
  (a) Government securities / Approved securities guaranteed by Central / State Governments [other than at (e) below] 0
  (b) Fixed Deposits, Bonds of banks and FIs 20
  (c) Bonds issued by banks / FIs as Tier 2 capital 100
  (d) Shares of all Companies and debentures / bonds / Commercial Paper of Companies other than in (b) above / units of mutual funds  @
  (e) Securities of Public Sector Undertakings guaranteed by Government but issued outside the market borrowing programme 20
  (f) Securities of  and  other  claims  on PDs 100
  (g) Subordinated debts issued by other PDs 100
(iv) Current assets  
  (a) Loans to staff 100
  (b) Other secured loans and advances considered good 100
  (c) Others (to be specified) 100
(v) Fixed Assets(net of depreciation)    
  (a) Assets leased out (net book value) 100
  (b) Fixed Assets 100
(vi) Other assets  
  (a) Income tax deducted at source (net of provision) 0
  (b) Advance tax paid (net of provision) 0
  (c) Interest accrued on Government securities 0
  (d) Others (ROU assets)
Others (to be specified and risk weight indicated as per counter party)
100
X

Notes: (1) Netting shall be done only in respect of assets where provisions for depreciation or for bad and doubtful debts have been made.
  (2) Assets which have been deducted from capital fund, shall have a risk weight of `zero’.
  (3) The PDs may net off the Current Liabilities and Provisions from the Current Assets, Loans and Advances in their Balance Sheet, as the Balance Sheet is drawn up as per the format prescribed under the Companies Act. For capital adequacy purposes, no such netting off should be done except to the extent indicated above.

@ Risk weights to be assigned by SPDs to their investments in corporate bonds, to the rating of the bonds as under:

Short term instruments (bonds upto 1 year maturity)

CARE CRISIL Ratings Ltd. India Ratings and Research Private Limited (India Ratings) ICRA Brickwork  Acuite Ratings & Research Limited (Acuite) INFOMERICS Valuation and Rating Ltd Risk weight (per cent)
CARE A1+ CRISIL A1+ IND A1+ ICRA A1+ Brickwork A1+ Acuite A1+ IVR A1+ 20
CARE A1 CRISIL A1 IND A1 ICRA A1 Brickwork A1 Acuite A1 IVR A1 30
CARE A2 CRISIL A2 IND A2 ICRA A2 Brickwork A2 Acuite A2 IVR A2 50
CARE A3 CRISIL A3 IND A3 ICRA A3 Brickwork A3 Acuite A3 IVR A3 100
CARE A4 & D CRISIL A4 & D IND A4 & D ICRA A4 & D Brickwork A4 & D Acuite A4 & D IVR A4 & D 150
Unrated Unrated Unrated Unrated Unrated Unrated   100

Long term instruments (bonds > 1 year maturity)

Rating AAA AA A BBB < BB Unrated
Risk Weight 20 30 50 100 150 100

D.1.2 Off-Balance Sheet items

20. The credit risk exposure attached to off-Balance Sheet items has to be first calculated by multiplying the face value of each of the off-Balance Sheet items by ‘credit conversion factor (CCF)’ as indicated below. This will then have to be again multiplied by the weights attributable to the relevant counterparty as specified under on-balance sheet items.

  Nature of item CCF per cent
(i) Share / debenture/ stock underwritten 50
(ii) Partly-paid shares / debentures/ other securities and actual devolvement 100
(iii) Notional Equity / Index position underlying the equity Derivatives* 100
(iv) Bills discounted / rediscounted 100
(v) Other contingent liabilities / commitments like standby commitments like standby facility with original maturity of over one year 50
(vi) Similar contingent liabilities / commitments with original maturity of upto one year or which can be unconditionally cancelled at any time 0
* For guidelines on calculation of notional positions underlying the equity derivatives, please refer to paragraphs 88 to 90 of these Directions.

Note: Cash margins / deposits should be deducted before applying the Conversion Factor

D.1.3 Interest Rate Contracts

(i) General

21. The total risk weight for Interest Rate Derivative Contracts should be calculated by means of a two-step process:

  1. Compute counterparty credit exposure by converting the notional amount of the transaction into a credit equivalent amount by applying the current exposure method and

  2. The resulting credit equivalent amount is multiplied by the risk weight applicable to the counterparty or the type of asset, whichever is higher.

(ii) Current Exposure Method (used for measuring capital charge for default risk)

22. The credit equivalent amount of interest rate derivative contracts calculated using the current exposure method is the sum of current exposure and potential future exposure of these contracts.

23. While computing the credit exposure SPDs may exclude ‘sold options’ that are outside netting and margin agreements, provided the entire premium / fee or any other form of income is received / realised.

24. Current exposure is defined as the sum of the positive mark-to-market value of these contracts. The Current Exposure Method requires periodical calculation of the current exposure by marking these contracts to market, thus capturing the current exposure. In case of bilateral netting arrangement, refer to the definition as specified in paragraph 30.

25. Potential future exposure is determined by multiplying the notional principal amount of each of these contracts, irrespective of whether the contract has a zero, positive or negative mark-to-market value, by the relevant add-on factor indicated below according to the nature and residual maturity of the instrument.

Table 1: Credit Conversion Factor (CCF) for Interest Rate Derivative Contracts
Residual Maturity CCF (%)
Interest Rate Derivative Contracts
One year or less 0.50
Over one year to five years 1.00
Over five years 3.00

26. For contracts with multiple exchanges of principal, the add-on factors are to be multiplied by the number of remaining payments in the contract.

27. For contracts that are structured to settle outstanding exposure following specified payment dates and where the terms are reset such that the market value of the contract is zero on these specified dates, the residual maturity would be set equal to the time until the next reset date. However, in the case of interest rate contracts which have residual maturities of more than one year and meet the above criteria, the CCF or add-on factor is subject to a floor of 1.0 per cent.

28. No potential future exposure would be calculated for single currency floating / floating interest rate swaps; the credit exposure on these contracts would be evaluated solely on the basis of their mark-to-market value.

29. Potential future exposures should be based on ‘effective’ rather than ’apparent notional amounts’. In the event that the ‘stated notional amount’ is leveraged or enhanced by the structure of the transaction, SPDs must use the ‘effective notional amount’ when determining potential future exposure. For example, a stated notional amount of ₹5 crore with payments based on an internal rate of two times the applicable rate would have an effective notional amount of ₹10 crore.

(iii) Bilateral netting arrangement

30. “Current Exposure” is the larger of zero, or the market value of a transaction or portfolio of transactions within a netting set with a counterparty that would be lost upon the default of the counterparty, assuming no recovery on the value of those transactions in bankruptcy. Current exposure is often also called Replacement Cost (RC).

31. When effective bilateral netting contracts as specified in paragraph 64 are in place, current exposure i.e., replacement cost will be the net replacement cost and the potential future exposure i.e., add-on will be ANet as calculated below:

(1) Credit exposure on bilaterally netted forward transactions will be calculated as the sum of the net mark-to-market replacement cost, if positive, plus an add-on based on the notional underlying principal. The add-on for netted transactions (ANet) will equal the weighted average of the gross add-on (AGross) and the gross add-on adjusted by the ratio of net current replacement cost to gross current replacement cost (NGR).

This is expressed through the following formula:

ANet = 0.4 * AGross + 0.6 * NGR * AGross

where:

NGR = level of net replacement cost / level of gross replacement cost for transactions subject to legally enforceable netting agreements.

Note: SPDs must calculate NGR on a counterparty by counterparty basis for all transactions that are subject to legally enforceable netting agreements.

AGross = sum of individual add-on amounts (calculated by multiplying the notional principal amount by the appropriate add-on factors set out in Table 1 under paragraph 25, and Table under paragraph 65 of these Directions and Table 3 under paragraph 10, and Table 4 under paragraph 12 of the Annex IV of these Directions of all transactions subject to legally enforceable netting agreements with one counterparty.

(2) For the purposes of calculating potential future exposure to a netting counterparty for forward foreign exchange contracts and other similar contracts in which the notional principal amount is equivalent to cash flows, the notional principal is defined as the net receipts falling due on each value date in each currency. The reason for this is that offsetting contracts in the same currency maturing on the same date will have lower potential future exposure as well as lower current exposure.

D.1.4 Capital charge for repo / reverse repo transactions:

32. The repo-style transactions should attract capital charge for Counterparty credit risk (CCR), in addition to the credit risk and market risk. The CCR is defined as the risk of default by the counterparty in a repo-style transaction, resulting in non-delivery of the security lent / pledged / sold or non-repayment of the cash.

(i) Treatment in the books of the borrower of funds:

33. Where a PD has borrowed funds by selling / lending or posting, as collateral, of securities, the ‘Exposure’ will be an off-balance sheet exposure equal to the 'market value' of the securities sold / lent as scaled up after applying appropriate haircut as detailed in paragraph 42 to 48 below. The 'off-balance sheet exposure' will be converted into 'on-balance sheet' equivalent by applying a credit conversion factor of 100 per cent.

34. The amount of money received will be treated as collateral for the securities lent / sold / pledged. Since the collateral is cash, the haircut for it would be zero.

35. The credit equivalent amount arrived at paragraph 33 above, net of amount of cash collateral, will attract a risk weight as applicable to the counterparty.

36. As the securities will come back to the books of the borrowing SPD after the repo period, it will continue to maintain the capital for the credit risk in the securities in the cases where the securities involved in repo are held under HTM category, and capital for market risk in cases where the securities are held under HFT category. The capital charge for credit risk / specific risk would be determined according to the credit rating of the issuer of the security. In the case of Government securities, the capital charge for credit / specific risk will be 'zero'.

(ii) Treatment in the books of the lender of funds:

37. The amount lent will be treated as on-balance sheet / funded exposure on the counter party, collateralised by the securities accepted under the repo.

38. The exposure, being cash, will receive a zero haircut.

39. The collateral will be adjusted downwards / marked down as per applicable haircut.

40. The amount of exposure reduced by the adjusted amount of collateral, will receive a risk weight as applicable to the counterparty, as it is an on- balance sheet exposure.

41. The lending SPD will not maintain any capital charge for the security received by it as collateral during the repo period, since such collateral does not enter its balance sheet but is only held as a bailee.

(iii) Haircuts

42. SPDs should use only the standard supervisory haircuts for both the exposure as well as the collateral.

43. The standard supervisory haircuts (assuming daily mark-to-market, daily remargining and minimum holding period of five business-days), expressed as percentages, would be as furnished in Table below.

44. The ratings indicated in Table 2 represent the ratings assigned by the domestic rating agencies. In the case of exposures toward debt securities issued by foreign central Governments and foreign corporates (if permitted), the haircut shall be based on ratings of the International rating agencies as indicated in Table 3.

45. Sovereign will include the Bank and DICGC which are eligible for zero per cent risk weight.

Table 2: Standard Supervisory Haircuts for Sovereign and other securities which constitute Exposure and Collateral
SI. No. Issue Rating for Debt securities Residual Maturity (in years) Haircut (in per cent)
A Securities issued / guaranteed by the Government of India and issued by the State Governments (Sovereign securities)
i Rating not applicable – as Government securities are not currently rated in India ≤ 1 year 0.5
>1 year and ≤ 5 years 2
>5 years 4
  Domestic debt securities other than those indicated at Item No. i above including the securities guaranteed by Indian State Governments
ii AAA TO AA
A1
≤ 1 year 1
> 1 year and ≤ 5 years 4
>5 years 8
  iii A to BBB
A2 and A3
≤ 1 year 2
> 1 year and ≤ 5 years 6
>5 years 12
B Cash in the same currency 0

Table 3: Standard Supervisory Haircut for Exposures and Collaterals which are obligations of foreign central sovereigns / foreign corporates
Issue rating for debt securities as assigned by international rating agencies Residual Maturity Sovereigns (%) Other Issues (%)
AAA to AA / A1 <= 1 year 0.5 1
>1 year and ≤ 5 years 2 4
>5 years 4 8
A to BBB / A2 / A3 and Unrated Bank Securities <= 1 year 1 2
>1 year and ≤ 5 years 3 6
>5 years 6 12

46. Where the collateral is a basket of assets, the haircut on the basket will be,

H= ∑aiHi

Where ai is the weight of the asset (as measured by the amount / value of the asset in units of currency) in the basket and Hi, the haircut applicable to that asset.

47. Adjustment for non-daily mark-to-market or remargining:

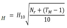
(a) For repo style transactions, SPDs should use minimum holing period of five business days with daily remargining.

(b) In case a transaction has different minimum holding period or margining frequency different from daily margining assumed, the applicable haircut for the transaction will also need to be adjusted by scaling up / down the haircut for 10 business days with daily margining indicated in Table 2 and 3 using the formula given in paragraph 48 below.

48. Formula for adjustment for different holding periods and / or non-daily mark-to-market or remargining:

Adjustment for the variation in holding period and margining / mark-to-market, as indicated in paragraph 47 above will be done as per the following formula:

Where:

H = haircut

H10 = 10-business-day standard supervisory haircut for instrument

NR = actual number of business days between remargining for capital market transactions or revaluation for secured transactions TM = minimum holding period for the type of transaction.

(iv) Calculation of capital requirement

49. The exposure amount after risk mitigation is calculated as follows:

E* = max {0, [E x (1 + He) - C x (1 - Hc - Hfx)]}

where:

E* = the exposure value after risk mitigation.

E = current value of the exposure for which the collateral qualifies as a risk mitigant.

He = haircut appropriate to the exposure.

C = the current value of the collateral received.

Hc = haircut appropriate to the collateral.

Hfx = haircut appropriate for currency mismatch between the collateral and exposure.

The exposure amount after risk mitigation (i.e., E*) will be multiplied by the risk weight of the counterparty to obtain the risk-weighted asset amount for the collateralised transaction.

50. The formula in paragraph 49 above will be adapted as follows to calculate the capital requirements for transactions with bilateral netting agreements. The bilateral netting agreements must meet the requirements set out in paragraph 63 and 64.

E* = max {0, [(Σ(E) – Σ(C)) + Σ (Es x Hs) +Σ (Efx x Hfx)]}

where:

E* = the exposure value after risk mitigation

E = current value of the exposure

C = the value of the collateral received

Es = absolute value of the net position in a given security

Hs = haircut appropriate to Es

Efx = absolute value of the net position in a currency different from the settlement currency

Hfx = haircut appropriate for currency mismatch

51. The intention here is to obtain a net exposure amount after netting of the exposures and collateral and have an add-on amount reflecting possible price changes for the securities involved in the transactions and for foreign exchange risk if any. The net long or short position of each security included in the netting agreement will be multiplied by the appropriate haircut. All other rules regarding the calculation of haircuts stated in paragraphs 42 to 49 equivalently apply for SPDs using bilateral netting agreements for repo-style transactions.

D.1.5 Capital requirements for exposures to Central Counterparties (CCPs)

52. Definitions

(a) A central counterparty (CCP) is a clearing house that interposes itself between counterparties to contracts traded in one or more financial markets, becoming the buyer to every seller and the seller to every buyer and thereby ensuring the future performance of open contracts. A CCP becomes counterparty to trades with market participants through novation, an open offer system, or another legally binding arrangement. For the purposes of the capital framework, a CCP is a financial institution.

(b) A qualifying central counterparty (QCCP) is an entity that is licensed to operate as a CCP (including a license granted by way of confirming an exemption),and is permitted by the appropriate regulator / overseer with respect to the products offered. This is subject to the provision that the CCP is based and prudentially supervised in a jurisdiction where the relevant regulator / overseer has established, and publicly indicated that it applies to the CCP on an ongoing basis, domestic rules and regulations that are consistent with the CPSS-IOSCO Principles for Financial Market Infrastructures.

(c) A clearing member is a member of, or a direct participant in, a CCP that is entitled to enter into a transaction with the CCP, regardless of whether it enters into trades with a CCP for its own hedging, investment or speculative purposes or whether it also enters into trades as a financial intermediary between the CCP and other market participants.

Note: For the purposes of these guidelines, where a CCP has a link to a second CCP, that second CCP is to be treated as a clearing member of the first CCP. Whether the second CCP’s collateral contribution to the first CCP is treated as initial margin or a default fund contribution will depend upon the legal arrangement between the CCPs. In such cases, if any, RBI should be consulted for determining the treatment of this initial margin and default fund contributions.

(d) A client is a party to a transaction with a CCP through either a clearing member acting as a financial intermediary, or a clearing member guaranteeing the performance of the client to the CCP.

(e) Initial margin means a clearing member’s or client’s funded collateral posted to the CCP to mitigate the potential future exposure of the CCP to the clearing member arising from the possible future change in the value of their transactions. For the purposes of these guidelines, initial margin does not include contributions to a CCP for mutualised loss sharing arrangements (i.e. in case a CCP uses initial margin to mutualise losses among the clearing members, it will be treated as a default fund exposure).

(f) Variation margin means a clearing member’s or client’s funded collateral posted on a daily or intraday basis to a CCP based upon price movements of their transactions.

(g) Trade exposures include the current and potential future exposure of a clearing member or a client to a CCP arising from OTC derivatives, exchange traded derivatives transactions or SFTs, as well as initial margin. It also includes cash transactions routed through a CCP.

Note: For the purposes of this definition, the current exposure of a clearing member includes the variation margin due to the clearing member but not yet received.

(h) Default funds, also known as clearing deposits or guarantee fund contributions (or any other names), are clearing members’ funded or unfunded contributions towards, or underwriting of, a CCP’s mutualised loss sharing arrangements. The description given by a CCP to its mutualised loss sharing arrangements is not determinative of their status as a default fund; rather, the substance of such arrangements will govern their status.

(i) Offsetting transaction means the transaction leg between the clearing member and the CCP when the clearing member acts on behalf of a client (e.g. when a clearing member clears or novates a client’s trade).

53. Scope of Application

(a) Exposures to central counterparties arising from OTC derivatives transactions, exchange traded derivatives transactions, securities financing transactions (SFTs) and the settlement of cash transactions, will be subject to the counterparty credit risk treatment as indicted in this paragraph below.

(b) When the clearing member-to-client leg of a transaction is conducted under a bilateral agreement, both the client SPD and the clearing member are to capitalise that transaction.

(c) For the purpose of capital adequacy framework, CCPs will be considered as financial institution and a SPD’s investments in the capital of CCPs should not exceed 10 per cent of its capital funds, but after all applicable deductions or any other limit as may be prescribed from time to time.

(d) Capital requirements will be dependent on the nature of CCPs viz. Qualifying CCPs (QCCPs) and non-Qualifying CCPs.

(1) Regardless of whether a CCP is classified as a QCCP or not, a SPD should have the responsibility to ensure that it maintains adequate capital for its exposures. A SPD should consider whether it might need to hold capital in excess of the minimum capital requirements if, for example, (i) its dealings with a CCP give rise to more risky exposures or (ii) where, given the context of that SPD’s dealings, it is unclear that the CCP meets the definition of a QCCP.

(2) SPDs may be required to hold additional capital against their exposures to QCCPs, if in the opinion of RBI, it is necessary to do so.

(3) Where the SPD is acting as a clearing member, the SPD should assess through appropriate scenario analysis and stress testing whether the level of capital held against exposures to a CCP adequately addresses the inherent risks of those transactions. This assessment will include potential future or contingent exposures resulting from future drawings on default fund commitments, and / or from secondary commitments, if permitted, to take over or replace offsetting transactions from clients of another clearing member in case of this clearing member defaulting or becoming insolvent.

(4) A SPD must monitor and report to senior management and the appropriate committee of the Board (e.g. Risk Management Committee) on a regular basis (quarterly or at more frequent intervals) all of its exposures to CCPs, including exposures arising from trading through a CCP and exposures arising from CCP membership obligations such as default fund contributions.

(5) Unless the Reserve Bank requires otherwise, the trades with a former QCCP shall continue to be capitalised as though they are with a QCCP for a period not exceeding three months from the date it ceases to qualify as a QCCP. After that time, the SPD’s exposures with such a central counterparty must be capitalised according to rules applicable for non-QCCP.

D.1.5.1 Exposures to Qualifying CCPs (QCCPs)

(i) Trade exposures :

a) Clearing member exposures to QCCPs

54. The following instructions shall be applicable:

(1) Where a SPD acts as a clearing member of a QCCP for its own purposes, a risk weight of two per cent shall be applied to the SPD’s trade exposure to the QCCP.

(2) The exposure amount for trade exposure in respect of OTC derivatives transactions, exchange traded derivatives transactions and SFTs should be calculated in accordance with the Current Exposure Method (CEM) for derivatives as detailed in paragraphs 22 to 31 above and rules for capital adequacy for Repo / Reverse Repo-style transactions prescribed in paragraphs 32 to 51 above.

(3) Where settlement is legally enforceable on a net basis in an event of default and regardless of whether the counterparty is insolvent or bankrupt, the total replacement cost of all contracts relevant to the trade exposure determination can be calculated as a net replacement cost if the applicable close-out netting sets meet the requirements given below in paragraphs 63 and 64 of these guidelines.

(4) SPDs should have to demonstrate that the conditions mentioned in paragraphs 63 and 64 of the guidelines are fulfilled on a regular basis by obtaining independent and reasoned legal opinion as regards legal certainty of netting of exposures to QCCPs. SPDs shall also obtain from such QCCPs, the legal opinion taken by the QCCPs on the legal certainty of their major activities such as settlement finality, netting, collateral arrangements (including margin arrangements); default procedures etc.

b) Clearing member exposures to clients

55. The clearing member will always capitalise its exposure to clients as bilateral trades, irrespective of whether the clearing member guarantees the trade or acts as an intermediary between the client and the QCCP. However, to recognize the shorter close-out period for cleared transactions, clearing members can capitalize the exposure to their clients by multiplying the exposure at default by a scalar which is not less than 0.71.

c) Client SPD exposures to clearing member

56. Where a SPD is a client of the clearing member, and enters into a transaction with the clearing member acting as a financial intermediary (i.e. the clearing member completes an offsetting transaction with a QCCP), the client’s exposures to the clearing member will receive the treatment applicable to the paragraph 54, if following conditions are met:

(a) The offsetting transactions are identified by the QCCP as client transactions and collateral to support them is held by the QCCP and / or the clearing member, as applicable, under arrangements that prevent any losses to the client due to:

  1. the default or insolvency of the clearing member;

  2. the default or insolvency of the clearing member’s other clients; and

  3. the joint default or insolvency of the clearing member and any of its other clients.

(b) The client SPD must obtain an independent, written and reasoned legal opinion that concludes that, in the event of legal challenge, the relevant courts and administrative authorities would find that the client would bear no losses on account of the insolvency of an intermediary under the relevant law, including:

  • the law(s) applicable to client SPD, clearing member and QCCP;

  • the law of the jurisdiction(s) of the foreign countries in which the client SPD, clearing member or QCCP are located

  • the law that governs the individual transactions and collateral; and

  • the law that governs any contract or agreement necessary to meet this condition (a).

(c) Relevant laws, regulations, rules, contractual, or administrative arrangements provide that the offsetting transactions with the defaulted or insolvent clearing member are highly likely to continue to be indirectly transacted through the QCCP, or by the QCCP, should the clearing member default or become insolvent. In such circumstances, the client positions and collateral with the QCCP will be transferred at the market value unless the client requests to close out the position at the market value. In this context, it is clarified that if relevant laws, regulations, rules, contractual or administrative agreements provide that trades are highly likely to be ported, this condition can be considered to be met. If there is a clear precedent for transactions being ported at a QCCP and intention of the participants is to continue this practice, then these factors should be considered while assessing if trades are highly likely to be ported. The fact that QCCP documentation does not prohibit client trades from being ported is not sufficient to conclude that they are highly likely to be ported. Other evidence such as the criteria mentioned in this paragraph is necessary to make this claim.

57. Where a client is not protected from losses in the case that the clearing member and another client of the clearing member jointly default or become jointly insolvent, but all other conditions mentioned above are met and the concerned CCP is a QCCP, a risk weight of four per cent will apply to the client’s exposure to the clearing member.

58. Where the client SPD does not meet the requirements in the above paragraphs, the SPD should be required to capitalize its exposure to the clearing member as a bilateral trade.

59. In case a SPD as a client enters into a transaction with the QCCP with a clearing member guaranteeing its performance, the capital requirements for client SPD should be calculated as if client SPD has entered into a bilateral contract with the clearing member.

d) Treatment of posted collateral

60. The following instructions shall be applicable:

(i) In all cases, any assets or collateral posted must, from the perspective of the SPD posting such collateral, receive the risk weights that otherwise applies to such assets or collateral under the capital adequacy framework, regardless of the fact that such assets have been posted as collateral. Where assets or collateral of a clearing member or client are posted with a QCCP or a clearing member and are not held in a bankruptcy remote manner, the SPD posting such assets or collateral must also recognise credit risk based upon the assets or collateral being exposed to risk of loss based on the creditworthiness of the entity holding such assets or collateral.

Note: Where the entity holding such assets or collateral is the QCCP, a risk-weight of two per cent applies to collateral included in the definition of trade exposures. The relevant risk-weight of the QCCP will apply to assets or collateral posted for other purposes.

(ii) Collateral posted by the clearing member (including cash, securities, other pledged assets, and excess initial or variation margin, also called over-collateralisation), that is held by a custodian, and is bankruptcy remote from the QCCP, is not subject to a capital requirement for counterparty credit risk exposure to such bankruptcy remote custodian.

Note: In this paragraph, the word “custodian” may include a trustee, agent, pledgee, secured creditor or any other person that holds property in a way that does not give such person a beneficial interest in such property and will not result in such property being subject to legally-enforceable claims by such persons, creditors, or to a court ordered stay of the return of such property, should such person become insolvent or bankrupt.

(iii) Collateral posted by a client, that is held by a custodian, and is bankruptcy remote from the QCCP, the clearing member and other clients, is not subject to a capital requirement for counterparty credit risk. If the collateral is held at the QCCP on a client’s behalf and is not held on a bankruptcy remote basis, a two per cent risk weight will be applied to the collateral if the conditions established in paragraph 56 are met. A risk weight of four per cent will be made applicable if a client is not protected from losses in the case that the clearing member and another client of the clearing member jointly default or become jointly insolvent, but all other conditions mentioned in paragraph 56 are met.

(iv) If a clearing member collects collateral from a client for client cleared trades and this collateral is passed on to the QCCP, the clearing member may recognize this collateral for both the QCCP - clearing member leg and the clearing member - client leg of the client cleared trade. Therefore, initial margins (IMs) as posted by clients to clearing members mitigate the exposure the clearing member has against these clients.

(ii) Default Fund Exposures to QCCPs

61. The following instructions shall be applicable:

(i) Where a default fund is shared between products or types of business with settlement risk only (e.g. equities and bonds) and products or types of business which give rise to counterparty credit risk i.e., OTC derivatives, exchange traded derivatives or SFTs, all of the default fund contributions will receive the risk weight determined according to the formulae and methodology set forth below, without apportioning to different classes or types of business or products.

(ii) However, where the default fund contributions from clearing members are segregated by product types and only accessible for specific product types, the capital requirements for those default fund exposures determined according to the formulae and methodology set forth below must be calculated for each specific product giving rise to counterparty credit risk. In case the QCCP’s prefunded own resources are shared among product types, the QCCP will have to allocate those funds to each of the calculations, in proportion to the respective product specific exposure i.e. exposure at default.

(iii) Clearing member SPDs are required to capitalise their exposures arising from default fund contributions to a qualifying CCP by applying the following formula:

Clearing member SPDs are required to apply a risk-weight of 667 per cent to their default fund exposures to the qualifying CCP, subject to an overall cap on the risk-weighted assets from all its exposures to the QCCP (i.e. including trade exposures) equal to 20 per cent of the trade exposures to the QCCP. More specifically, the Risk Weighted Assets (RWA) for both PD i’s trade and default fund exposures to each QCCP are equal to:

Min {(2% * TEi + 667% * DFi); (20% * TEi)}

Where;

-TEi is PD i’s trade exposure to the QCCP; and

-DFi is PD i's pre-funded contribution to the QCCP's default fund.

Note: The two per cent risk weight on trade exposures does not apply additionally, as it is included in the equation.

D.1.5.2 Exposures to Non-qualifying CCPs

62. The following instructions shall be applicable:

(a) SPDs must apply the Standardised Approach for credit risk according to the category of the counterparty, to their trade exposure to a non-qualifying CCP.

(b) SPDs must apply a risk weight of 667 per cent to their default fund contributions to a nonqualifying CCP.

(c) For the purposes of this paragraph, the default fund contributions of such SPDs will include both the funded and the unfunded contributions which are liable to be paid should the CCP so require. Where there is a liability for unfunded contributions (i.e. unlimited binding commitments) the Reserve Bank will determine the amount of unfunded commitments to which an 667 per cent risk weight should apply.

D.1.5.3 Requirements for Recognition of Net Replacement Cost in Close-out Netting Sets

(a) For repo-style transactions

63. The effects of bilateral netting agreements covering repo-style transactions will be recognised on a counterparty-by-counterparty basis if the agreements are legally enforceable in each relevant jurisdiction upon the occurrence of an event of default and regardless of whether the counterparty is insolvent or bankrupt. In addition, netting agreements must:

(a) provide the non-defaulting party the right to terminate and close-out in a timely manner all transactions under the agreement upon an event of default, including in the event of insolvency or bankruptcy of the counterparty;

(b) provide for the netting of gains and losses on transactions (including the value of any collateral) terminated and closed out under it so that a single net amount is owed by one party to the other;

(c) allow for the prompt liquidation or setoff of collateral upon the event of default; and

(d) be, together with the rights arising from the provisions required in (a) to (c) above, legally enforceable in each relevant jurisdiction upon the occurrence of an event of default and regardless of the counterparty's insolvency or bankruptcy.

(b) For Derivatives transactions

64. The following instructions shall be applicable:

(a) SPDs shall net transactions subject to novation under which any obligation between a SPD and its counterparty to deliver a given currency on a given value date is automatically amalgamated with all other obligations for the same currency and value date, legally substituting one single amount for the previous gross obligations.

(b) SPDs may also net transactions subject to any legally valid form of bilateral netting not covered in (a), including other forms of novation.

(c) In both cases (a) and (b), a SPD will need to satisfy that it has:

(i) A netting contract or agreement with the counterparty which creates a single legal obligation, covering all included transactions, such that the SPD would have either a claim to receive or obligation to pay only the net sum of the positive and negative mark-to-market values of included individual transactions in the event a counterparty fails to perform due to any of the following: default, bankruptcy, liquidation or similar circumstances;

(ii) Written and reasoned legal opinions that, in the event of a legal challenge, the relevant courts and administrative authorities would find the SPD's exposure to be such a net amount under:

  • The law of the jurisdiction in which the counterparty is chartered and, if the foreign branch of a counterparty is involved, then also under the law of the jurisdiction in which the branch is located;

  • The law that governs the individual transactions; and

  • The law that governs any contract or agreement necessary to effect the netting.

(iii) Procedures in place to ensure that the legal characteristics of netting arrangements are kept under review in the light of possible changes in relevant law.

(d) Contracts containing walkaway clauses will not be eligible for netting for the purpose of calculating capital requirements under these guidelines. A walkaway clause is a provision which permits a non-defaulting counterparty to make only limited payments or no payment at all, to the estate of a defaulter, even if the defaulter is a net creditor.

D.1.6 Foreign Exchange (FE) Contracts

65. Like the interest rate contracts, the outstanding contracts should be first multiplied by a conversion factor as shown below:

CCF for Market-Related Off-Balance Sheet Items Residual Maturity CCF (per cent)
Exchange Rate Contracts
One year or less 2.00
Over one year to five years 10.00
Over five years 15.00

66. This will then have to be again multiplied by the weights attributable to the relevant counterparty as specified above.

67. When effective bilateral netting contracts as specified in paragraph 64 are in place, the computation of credit exposure will be as detailed in paragraph 31.

D.1.7 Single Name Credit Default Swaps (CDS) on Corporate Bonds

68. For CDS related transactions, SPDs shall follow the capital adequacy guidelines as per Annex IV.

D.1.8 Capital charge for Collateralised OTC derivatives transactions

69. The calculation of the counterparty credit risk charge for an individual contract will be as follows:

counterparty charge = [max(0,(RC + add-on) – CA)] x r x 15%

where:

RC = the replacement cost,

add-on = the amount for potential future exposure calculated according to paragraphs 22 to 31,

CA = the volatility adjusted collateral amount under the comprehensive approach prescribed in paragraphs 42 to 51 or zero if no eligible collateral is applied to the transaction,

and r = the risk weight of the counterparty.

70. When effective bilateral netting contracts are in place, RC will be the net replacement cost and the add-on will be ANet as calculated according to paragraph 31.The haircut for currency risk (Hfx) should be applied when there is a mismatch between the collateral currency and the settlement currency. Even in the case where there are more than two currencies involved in the exposure, collateral and settlement currency, a single haircut assuming a 10-business day holding period scaled up as necessary depending on the frequency of mark-to-market will be applied.

E. Measurement of Market Risk

71. The procedure for calculating capital charge for market risk is given below.

72. Market risk is defined as the risk of loss arising from movements in market prices or rates away from the rates or prices set out in a transaction or agreement. The objective in introducing the capital adequacy for market risk is to provide an explicit capital cushion for the price risk to which the SPDs are exposed to in their portfolio.

73. The capital charge for market risks should be worked out by the standardised approach and the internal risk management framework based Value at Risk (VaR) model. The capital charge for market risk to be provided by SPDs would be higher of the two requirements. However, where price data is not available for specific category of assets, SPDs shall follow the standardised approach for computation of market risk. In such a situation, SPDs should disclose to RBI, details of such assets and ensure that consistency of approach is followed. SPDs should obtain RBI’s permission before excluding any category of asset for calculations of market risk. SPDs would normally consider the instruments of the nature of fixed deposits, commercial bills etc., for this purpose. Such items will be held in the books till maturity and any diminution in the value will have to be provided for in the books.

Note: In case of underwriting commitments, following points should be adhered to:

(1) In case of devolvement of underwriting commitment for G-Sec, 100 per cent of the devolved amount would qualify for the measurement of market risk.

(2) In case of underwriting under merchant banking issues (other than G-Sec), where price has been committed / frozen at the time of underwriting, the commitment is to be treated as a contingent liability and 50 per cent of the commitment should be included in the position for market risk. However, 100% of devolved position should be subjected to market risk measurement.

74. The methodology for working out the capital charges for market risk on the portfolio is as below:

E.1 Standardized Approach

75. Capital charge will be the measure of risk arrived at in terms of paragraphs 76 to 93, summed arithmetically.

E.1.1 For Fixed Income Instruments

76. Duration method shall apply. Under this, the price sensitivity of all interest rate positions viz., Dated securities, Treasury bills, Commercial papers, PSU / FI / Corporate Bonds, Special Bonds, Mutual Fund units and derivative instruments like IRS, FRA, IRF etc., including underwriting commitments / devolvement and other contingent liabilities having interest rate / equity risk will be captured.

77. In duration method, the capital charge is the sum of four components namely:

a) the net short or long position in the whole trading book;

b) a small proportion of the matched positions in each time-band

(the “vertical disallowance’’);

c) a larger proportion of the matched positions across different timebands (the “horizontal disallowance’’);and

d) a net charge for positions in options, where appropriate.

Note 1: Since short position in India is allowed only in derivatives and G-Sec, netting as indicated at (a) and the system of `disallowances’ as at (b) and (c) above are applicable currently only to the PDs entering into FRAs / IRSs / exchange traded derivatives and G-Sec.

78. However, under the duration method, SPDs with the necessary capability may, with RBI’s permission use a more accurate method of measuring all of their general market risks by calculating the price sensitivity of each position separately. SPDs must select and use the method on a consistent basis and the system adopted will be subjected to monitoring by the RBI. The mechanics of this method are as follows:

(1) first calculate the price sensitivity of all instruments in terms of a change in interest rates between 0.6 and 1.0 per cent points depending on the duration of the instrument (as per Table 1 given below );

(2) slot the resulting sensitivity measures into a duration-based ladder with the thirteen time-bands set out in Table 1;

(3) subject the lower of the long and short positions in each time-band to a five per cent capital charge towards vertical disallowance designed to capture basis risk;

(4) carry forward the net positions in each time-band for horizontal offsetting across the zones subject to the disallowances set out in Table 2.

Note 2: Points (3) and (4) above are applicable only where opposite positions exist as explained at Note 1 above.

Table 1
Duration time-bands and assumed changes in yield (%)
Zone 1
0 to 1 month 1.00
1 to 3 months 1.00
3 to 6 months 1.00
6 to 12 months 1.00
   
Zone 2
1 to 2 years 0.95
2 to 3 years 0.90
3 to 4 years 0.85
   
Zone 3  
4 to 5 years 0.85
5 to 7 years 0.80
7 to 10 years 0.75
10 to 15 years 0.70
15 to 20 years 0.65
Over 20 years 0.60

Table 2
Horizontal disallowances      
Zones Time-band Within the zone Between adjacent zones Between zones 1 and 3
Zone 1 0 – month 40% 40% 100%
1 – 3 months
3 – 6 months
6 – 12 months
Zone 2 1 – 2 years 30%
2 – 3 years
3 – 4 years
Zone 3 4 – 5 years 30%
5 – 7 years
7 – 10 years
10 – 15 years
15 – 20 years
Over 20 years

The gross positions in each time-band will be subject to risk weighting as per the assumed change in yield set out in Table 1, with no further offsets.

E.1.2 Capital charge for interest rate derivatives

79. The measurement system shall include all interest rate derivatives and off balance-sheet instruments in the trading book which react to changes in interest rates, (e.g. FRAs, other forward contracts, bond futures, interest rate positions).

E.1.2.1 Calculation of positions

80. Derivatives shall be converted into positions in the relevant underlying and subjected to market risk charges as described above. In order to calculate the market risk as per the standardized approach described above, the amounts reported should be the market value of the principal amount of the underlying or of the notional underlying.

E.1.2.2 Futures and Forward Contracts (including FRAs)

81. These instruments are treated as a combination of a long and a short position in a notional government security. The maturity of a future contract or an FRA will be the period until delivery or exercise of the contract, plus - where applicable - the life of the underlying instrument. For example, a long position in a June three-month IRF taken in April is to be reported as a long position in a government security with a maturity of five months and a short position in a government security with a maturity of two months. Where a range of deliverable instruments may be delivered to fulfill the contract, the SPD has flexibility to elect which deliverable security goes into the maturity or duration ladder but should take account of any conversion factor defined by the exchange. In the case of a future on a corporate bond index, positions will be included at the market value of the notional underlying portfolio of securities.

E.1.2.3 Swaps

82. Swaps will be treated as two notional positions in G-Sec with relevant maturities. For example, an IRS under which a SPD is receiving floating rate interest and paying fixed will be treated as a long position in a floating rate instrument of maturity equivalent to the period until the next interest fixing and a short position in a fixed-rate instrument of maturity equivalent to the residual life of the swap. For swaps that pay or receive a fixed or floating interest rate against some other reference price, e.g. a stock index, the interest rate component should be slotted into the appropriate re-pricing maturity category, with the equity component being included in the equity framework.

E.1.2.4 Calculation of capital charges

83. Allowable offsetting of matched positions - SPDs may exclude from the interest rate maturity framework altogether (long and short positions, both actual and notional) in identical instruments with exactly the same issuer, coupon and maturity. A matched position in a future or forward and its corresponding underlying may also be fully offset, and thus excluded from the calculation. When the future or the forward comprises a range of deliverable instruments, offsetting of positions in the future or forward contract and its underlying is only permissible in cases where there is a readily identifiable underlying security which is most profitable for the trader with a short position to deliver. The leg representing the time to expiry of the future should, however, be taken into account. The price of this security, sometimes called the "cheapest-to-deliver", and the price of the future or forward contract should in such cases move in close alignment.

84. In addition, opposite positions in the same category of instruments can in certain circumstances be regarded as matched and allowed to offset fully. To qualify for this treatment the positions must relate to the same underlying instruments and be of the same nominal value. In addition:

(1) For futures: offsetting positions in the notional or underlying instruments to which the futures contract relates must be for identical products and mature within seven days of each other;

(2) For swaps and FRAs: the reference rate (for floating rate positions) must be identical and the coupon closely matched (i.e. within 15 basis points); and

(3) For swaps, FRAs and forwards: the next interest fixing date or, for fixed coupon positions or forwards, the residual maturity must correspond within the following limits:

  • less than one month hence: same day;

  • between one month and one year hence: within seven days;

  • over one year hence: within thirty days.

85. SPDs with large swap books may use alternative formulae for these swaps to calculate the positions to be included in the duration ladder. One method would be to first convert the payments required by the swap into their present values. For that purpose, each payment shall be discounted using zero coupon yields, and a single net figure for the present value of the cash flows entered into the appropriate time-band using procedures that apply to zero (or low) coupon bonds; these figures should be slotted into the general market risk framework as set out earlier. An alternative method would be to calculate the sensitivity of the net present value implied by the change in yield used in the duration method and allocate these sensitivities into the time-bands set out in Table 1. Other methods which produce similar results could also be used. Such alternative treatments will, however, only be allowed if:

  • the supervisory authority is fully satisfied with the accuracy of the systems being used;

  • the positions calculated fully reflect the sensitivity of the cash flows to interest rate changes and are entered into the appropriate time-bands;

86. General market risk applies to positions in all derivative products in the same manner as for cash positions, subject only to an exemption for fully or very closely-matched positions in identical instruments as defined in above paragraphs. The various categories of instruments shall be slotted into the maturity ladder and treated according to the rules identified earlier.

E.1.3 Capital charge for equity positions

87. SPDs shall calculate the capital charge for market risk on equity and equity derivatives using the Internal Models approach only.

E.1.3.1 Equity positions

88. This section sets out a minimum capital standard to cover the risk of holding or taking positions in equities by the SPDs. It applies to long and short positions in all instruments that exhibit market behaviour similar to equities, but not to nonconvertible preference shares (which will be covered by the interest rate risk requirements). Long and short positions in the same issue shall be reported on a net basis. The instruments covered include equity shares, convertible securities that behave like equities, i.e., units of Mutual Funds and commitments to buy or sell equities. The equity or equity like positions including those arrived at in relation to equity / index derivatives as described in following sections shall be included in the duration ladder below one month.

E.1.3.2 Equity derivatives

89. Equity derivatives and off balance-sheet positions which are affected by changes in equity prices should be included in the measurement system. This includes futures and swaps on both individual equities and on stock indices.

90. The derivatives are to be converted into positions in the relevant underlying.

E.1.3.3 Calculation of positions

91. In order to calculate the market risk, positions in derivatives should be converted into notional equity positions:

(1) futures and forward contracts relating to individual equities should in principle be reported at current market prices;

(2) futures relating to stock indices should be reported as the marked-to-market value of the notional underlying equity portfolio;

(3) equity swaps are to be treated as two notional positions.

E.1.4 Capital Charge for Foreign Exchange (FE) Position:

92. Under the standardised approach, SPDs shall maintain a market risk capital charge of 15 per cent for net open positions (limits or actual, whichever is higher) arising out of forex business with a risk weight of 100 per cent. The net open position for foreign exchange exposures shall be calculated as per the methodology prescribed in paragraph 199 of Reserve Bank of India (Commercial Banks - Prudential Norms on Capital Adequacy), 2025 to the extent applicable to SPDs.

93. Further, as SPDs have been permitted to raise resources under FCNR (B) loan route, subject to prescribed guidelines, they may end up holding open FE positions. Such open positions in equivalent rupees arrived at by marking to market at FEDAI rates will be subject to a flat market risk charge of 15 per cent and be part of the positions stated above.

E.2 Internal risk management framework based method

94. The SPDs should calculate the capital requirement based on their internal risk management framework based VaR model for market risk, as per the following minimum parameters:

(1) VaR must be computed on a daily basis at a 99th percentile, one-tailed confidence interval.

(2) An instantaneous price shock equivalent to a 15-day movement in prices is to be used, i.e. the minimum "holding period" will be 15 trading days.

(3) Interest rate sensitivity of the entire portfolio should be captured on an integrated basis by including all fixed income securities like G-Sec, Corporate / PSU bonds, CPs and derivatives like IRS, FRAs, IRFs, etc., based on the mapping of the cash flows to work out the portfolio VaR. Wherever data for calculating volatilities is not available, SPDs shall calculate the volatilities of such instruments using the G-Sec yield curve with appropriate spread. However, the details of such instruments and the spreads applied have to be reported and consistency of methodology should be ensured.

(4) Instruments which are part of trading book, but found difficult to be subjected to measurement of market risk shall be applied a flat market risk measure of 15 per cent. These include units of Mutual Funds, unquoted equity, etc., and should be added arithmetically to the measure obtained under VaR in respect of other instruments.

(5) Underwriting commitments as explained in the note of Paragraph 73 should also be mapped into the VaR framework for risk measurement purposes.

(6) The unhedged FE position arising out of the foreign currency borrowings under FCNR (B) loans scheme would carry a market risk of 15 per cent as hitherto and the measure obtained will be added arithmetically to the VaR measure obtained for other instruments.

(7) The choice of historical observation period (sample period) for calculating VaR will be constrained to a minimum length of one year and not less than 250 trading days. For SPDs who use a weighting scheme or other methods for the historical observation period, the "effective" observation period must be at least one year (that is, the weighted average time lag of the individual observations cannot be less than 6 months).

(8) The capital requirement will be the higher of:

  1. the previous day's VaR number measured according to the above parameters specified in this section; and

  2. the average of the daily VaR measures on each of the preceding 60 business days, multiplied by a multiplication factor prescribed by the RBI (3.3 presently).

(9) No particular type of model is prescribed. So long as the model used captures all the material risks run by the SPDs, they will be free to use models, based, for example, on variance-covariance matrices, historical simulations, Monte Carlo simulations or Extreme Value Theory (EVT), etc.

(10) The criteria for use of internal model to measure market risk capital charge are given by Internal Debt Management Department of the Bank.

F. Capital Adequacy requirements

95. The capital charge for credit risk and market risk as given above shall be maintained at all times.

96. In calculating eligible capital, it will be necessary first to calculate the SPD’s minimum capital requirement for credit risk, and thereafter its market risk requirement, to establish how much Tier 1 and Tier 2 capital is available to support market risk. Of the 15% capital charge for credit risk, at least 50% shall be met by Tier 1 capital, that is, the total of Tier 2 capital, if any, shall not exceed one hundred per cent of Tier 1 capital, at any point of time, for meeting the capital charge for credit risk.

97. Subordinated debt as Tier 2 capital shall not exceed 50 per cent of Tier 1 capital.

98. The total of Tier 2 capital shall not exceed 100 per cent of Tier 1 capital.

99. Eligible capital will be the sum of the whole of the SPD’s Tier 1 capital, plus all of its Tier 2 capital under the limits imposed, as summarized above.

100. The overall capital adequacy ratio will be calculated by establishing an explicit numerical link between the credit risk and the market risk factors, by multiplying the market risk capital charge with 6.67 i.e. the reciprocal of the minimum credit risk capital charge of 15 per cent.

101. The resultant figure shall be added to the sum of risk weighted assets worked out for credit risk purpose. The numerator for calculating the overall ratio will be the SPD’s total capital funds (Tier 1 and Tier 2 capital, after applicable deductions, if any). The calculation of capital charge is illustrated in Annex II

G. Internal Capital Adequacy Assessment Process (ICAAP)

102. SPD shall refer to Para 54 of Reserve Bank of India (Non-Banking Financial Companies – Prudential Norms on Capital Adequacy) Directions, 2025.

H. Diversification of SPD Activities

103. The guidelines on diversification of activities by SPDs shall be as prescribed in these Directions.

104. The capital charge for market risk (calculated as per provisions of these Directions) for the activities defined below shall not be more than 20 per cent of the Net Owned Fund (NOF) of the SPD as per the last audited balance sheet:

(i) Investment / trading in equity and equity derivatives

(ii) Investment in units of equity oriented mutual funds

(iii) Underwriting public issues of equity

(iv) Participation in Currency Futures Market

(v) Offering foreign exchange market-making facilities to users, as currently permitted to Category-I Authorized Dealers.

105. SPDs shall calculate the capital charge for market risk on the stock positions/ underlying stock positions/units of equity oriented mutual funds using Internal Models (VaR based) as per the directions contained in Annex VIII of the Operational Guidelines for Primary Dealers issued vide Master Direction IDMD.PDRD.01/03.64.00/2016-17 dated July 01, 2016. As regards credit risk arising out of exposure in equity, equity derivatives and equity oriented mutual funds, SPDs shall calculate the capital charge as per the guidelines prescribed above.

Chapter IV – Sources and Application of Funds

A. Sources of funds

106. SPDs are permitted to borrow funds from call / notice / term money market, repo (including CBLO) market, Inter-Corporate Deposits, FCNR (B) loans, Commercial Paper and Non-Convertible Debentures. They are also eligible for liquidity support from the Reserve Bank.

A.1 Call / Notice Market

107. SPDs are allowed to borrow from call / notice market, on an average in a ‘reporting fortnight’, up to 225 per cent of their NOF as at the end March of the preceding financial year. They may lend up to 25 per cent of their NOF in call / notice money market, on an average in a ‘reporting fortnight’. These limits on borrowing and lending are subject to periodic review by the Bank. SPDs are governed by the provisions of the Master Direction - Reserve Bank of India (Call, Notice and Term Money Markets) Directions, 2021 dated April 01, 2021.

A.2 Inter-Corporate Deposits (ICDs)

108. ICDs may be raised by SPDs as per their funding needs. The SPDs shall put in place a Board approved policy for ICDs which takes due consideration of the associated risks and shall include the following general principles:

(1) The ICD borrowings shall in no case exceed 150 per cent of the NOF as at the end of March of the preceding financial year.

(2) ICDs accepted by SPD shall be for a minimum period of one week.

(3) ICDs accepted from parent / promoter / group companies or any other related party shall be on ‘arm’s length basis’ and disclosed in financial statements as "related party transactions".

(4) Funds raised through ICDs are subject to ALM discipline.

109. SPDs are prohibited from placing funds in ICD market.

A.3 FCNR (B) loans / External Commercial Borrowing

110. SPDs may avail of FCNR(B) loans up to a maximum of 25 per cent of the NOF as at the end of March of the preceding financial year and subject to the foreign exchange risk of such loans being hedged at all times at least to the extent of 50 per cent of the exposure.

111. SPDs shall maintain the necessary capital as required under these directions due to these exposures.

112. SPDs are not permitted to raise funds through External Commercial Borrowings.

A.4 Non-Convertible Debentures (NCDs)

113. SPDs may issue NCDs of maturity up to one year, without the requirement of having a working capital limit with a bank. They shall be governed by the directions, Master Direction – Reserve Bank of India (Commercial Paper and Non-Convertible Debentures of original or initial maturity upto one year) Directions, 2024 dated January 03, 2024.

A.5 Commercial Paper

114. Issuance of Commercial Paper by SPDs shall be as per “Guidelines for Issue of Commercial Paper” issued vide Master Direction – Reserve Bank of India (Commercial Paper and Non-Convertible Debentures of original or initial maturity upto one year) Directions, 2024 dated January 03, 2024.

B. Application of Funds

115. SPDs are permitted to undertake a set of core and non-core activities. SPDs which undertake only the core activities shall maintain a minimum NOF of ₹150 crore. SPDs which also undertake non-core activities shall maintain a minimum NOF of ₹250 crore.

116. The investment in G-Sec must have predominance over the non-core activities in terms of investment pattern. SPDs shall ensure predominance by maintaining at least 50 per cent of their total financial investments (both long term and short term) in G-Sec at any point of time. Investment in G-Sec shall include the SPD’s Own Stock, Stock with the Reserve Bank under Liquidity Support / Intra-day Liquidity (IDL) / LAF, Stock with market for repo borrowings and G-Sec pledged with the CCIL.

117. An SPD’s investment in G-Sec (including T-Bills and CMBs) and Corporate Bond (to the extent of 50 per cent of NOF) on a daily basis shall be at least equal to its net call / notice / repo (including CBLO) borrowing plus net RBI borrowing (through LAF / Intra-Day Liquidity / Liquidity Support) plus the minimum prescribed NOF.

118. The following are permitted under core activities:

(1) Dealing and underwriting in G-Sec,

(2) Dealing in Interest Rate Derivatives,

(3) Providing broking services in G-Sec,

(4) Dealing and underwriting in Corporate / PSU / FI bonds / debentures,

(5) Lending in Call / Notice / Term / Repo / CBLO market,

(6) Investment in Commercial Papers (CPs),

(7) Investment in Certificates of Deposit (CDs),

(8) Investment in Security Receipts issued by Asset Reconstruction Companies, Asset Backed Securities (ABS), Mortgage Backed Securities (MBS),

(9) Investment in debt mutual funds where entire corpus is invested in debt securities,

(10) Investments in NCDs, and

(11) Dealing in Credit Default Swaps.

119. SPDs are permitted to undertake the following non-core activities:

(1) Activities which are expected to consume capital such as:

  1. Investment / trading in equity and equity derivatives market,

  2. Investment in units of equity oriented mutual funds,

  3. Underwriting public issues of equity,

  4. Participation in Currency Futures Market, and

  5. offer foreign exchange market-making facilities to users, as currently permitted to Category-I Authorized Dealers.

(2) Services which may not require significant capital outlay such as:

  1. Professional Clearing Services,

  2. Portfolio Management Services,

  3. Issue Management Services,

  4. Merger & Acquisition Advisory Services,

  5. Private Equity Management Services,

  6. Project Appraisal Services,

  7. Loan Syndication Services,

  8. Debt restructuring services,

  9. Consultancy Services,

  10. Distribution of mutual fund units, and

  11. Distribution of insurance products.

(3) Specific approvals of other regulators, if needed, shall be obtained for undertaking the activities detailed above.

(4) SPDs are not allowed to undertake broking in equity, trading / broking in commodities and gold.

(5) The exposure to non-core activities shall be subject to the regulatory and prudential norms for diversification of activities by SPD as provided for in the Directions.

(6) SPDs choosing to diversify into non-core business segments shall define internally the scope of diversification, organization structure and reporting levels for those segments. They shall clearly lay down exposure and risk limits for those segments in their Board approved investment policy.

The exposure to core and non-core activities of SPD shall be subject to risk capital allocation (credit risk and market risk) as prescribed in Chapter III of these Directions.

B.1 Norms for Ready Forward transactions

120. SPDs are permitted to participate in ready forward (Repo) market both as lenders and borrowers in corporate debt securities and Government securities subject to directions issued by FMRD vide Master Direction – Reserve Bank of India (Repurchase Transactions (Repo)) Directions, 2025 dated November 11, 2025 and by IDMD vide Master Direction – Operational Guidelines for Primary Dealers dated July 01, 2016, as amended from time to time. Further, such SPDs participating in repo transactions shall comply with guidelines on uniform accounting for repo / reverse repo transactions issued by FMRD vide Master Direction – Reserve Bank of India (Repurchase Transactions (Repo)) Directions, 2025 dated November 11, 2025 and FMRD.DIRD.10/14.03.002/2015-16 dated May 19, 2016, as amended from time to time.

121. An SPD shall not enter into a repo in Corporate Debt Securities with its own constituent or facilitate a repo between two of its constituents

122. Listed companies can enter into repo transactions subject to the following condition:

Where the listed company is a 'buyer' of securities in the first leg of the repo contract (i.e. lender of funds), the custodian through which the repo transaction is settled should block these securities in the gilt account and ensure that these securities are not further sold or re-repoed during the repo period but are held for delivery under the second leg.

B.2 Guidelines on Interest Rate Derivatives

123. SPDs shall adhere to the guidelines applicable to interest rate derivatives as laid down in Master Direction – Reserve Bank of India (Market-makers in OTC Derivatives) Directions, 2021, and Rupee Interest Rate Derivatives (Reserve Bank) Directions, 2019 dated June 26, 2019, as amended from time to time.

SPDs are allowed to deal in Interest Rate Futures (IRFs) for both hedging and trading on own account and not on client’s account, as given in the Rupee Interest Rate Derivatives (Reserve Bank) Directions, 2019 dated June 26, 2019, as amended from time to time.

124. SPDs shall report all their IRS / FRA trades, except with clients, on the CCIL reporting platform within 30 minutes from the deal time. Further, all transaction with clients in INR FRA / IRS shall be reported as per the timelines prescribed in Master Direction - Risk Management and Inter-Bank Dealings dated July 05, 2016.

B.3 Guidelines on Credit Default Swaps

125. SPDs can undertake transactions in CDS, both as market-makers as well as users. As a user, SPD can use CDS to hedge credit risk in corporate bonds held in its trading book. The guidelines on capital adequacy and exposure norms for CDS are detailed in Annex IV. SPDs intending to act as market makers in CDS shall fulfil the following criteria:

  1. Minimum Net Owned Funds of ₹500 crore

  2. Minimum CRAR of 15 percent

  3. Have robust risk management systems in place to deal with various risks

126. The regulatory approval to SPDs to act as market makers in the CDS market would be accorded by Department of Regulation, Central office, RBI, Mumbai on a case by case basis, on application for the same.

B.4 Guidelines on investments in non-G-Sec

127. SPDs shall adhere to guidelines on investments in non-G-Sec (including capital gain bonds, bonds eligible for priority sector status, bonds issued by Central or State public sector undertakings with or without Government guarantees and bonds issued by banks and financial companies) generally issued by corporate, banks, FIs and State and Central Government sponsored institutions, Special Purpose Vehicles (SPVs), etc. The guidelines will apply to investments both in the primary and secondary market. These guidelines will, however, not be applicable to :

  1. units of equity oriented mutual fund schemes where any part of the corpus can be invested in equity,

  2. venture capital funds,

  3. CPs,

  4. CDs, and

  5. investments in equity shares.

128. SPDs are permitted to become members of SEBI approved Stock Exchanges for the purpose of undertaking proprietary transactions in corporate bonds. While doing so, SPDs shall comply with all the regulatory norms laid down by SEBI and all the eligibility criteria / rules of stock exchanges.

129. In terms of instructions contained in the Master Direction – Operational Guidelines for Primary Dealers issued vide Master Direction IDMD.PDRD.01/03.64.00/2016-17 dated July 01, 2016, SPDs are allowed a sub-limit of 50 per cent of NOF for investment in corporate bonds within the overall permitted average fortnightly limit of 225 per cent of NOF as at the end of March of the preceding financial year for call / notice money market borrowing.

130. SPDs shall not invest in non-G-Sec of original maturity of less than one year, other than NCDs, CPs and CDs, as provided for in Master Direction - Reserve Bank of India (Call, Notice and Term Money Markets) Directions, 2021 dated April 01, 2021 and Master Direction – Reserve Bank of India (Commercial Paper and Non-Convertible Debentures of original or initial maturity upto one year) Directions, 2024 dated January 03, 2024. SPDs are permitted to invest in NCDs with original or initial maturity up to one year issued by the corporates (including NBFCs). However, their investments in such unlisted NCDs shall not exceed 10 per cent of the size of their non-G-Sec portfolio on an on-going basis. While investing in such instruments, SPDs shall be guided by the extant prudential guidelines in force and instructions contained in the Master Direction – Reserve Bank of India (Commercial Paper and Non-Convertible Debentures of original or initial maturity upto one year) Directions, 2024 dated January 03, 2024, as amended from time to time.

131. SPDs shall undertake usual due diligence in respect of investments in non-G-Sec.

132. SPDs shall not invest in unrated non-G-Sec.

133. SPDs shall abide by the requirements stipulated by SEBI in respect of corporate debt securities. Accordingly, while making fresh investments in non-Government debt securities, SPDs shall ensure that such investments are made only in listed debt securities, except to the extent indicated in paragraph 132 above.

134. SPD's investment in unlisted non-G-Sec shall not exceed 10 per cent of the size of their non-G-Sec portfolio on an on-going basis. The ceiling of 10 per cent shall be inclusive of investment in Security Receipts issued by Securitization Companies / Reconstruction Companies and also the investment in ABS and MBS. The unlisted non-Government debt securities in which SPDs shall invest up to the limits specified above, should comply with the disclosure requirements as prescribed by the SEBI for listed companies.

135. As per SEBI guidelines, all trades with the exception of the spot transactions, in a listed debt security, shall be executed only on the trading platform of a stock exchange. All entities regulated by the Reserve Bank shall report their secondary market OTC trades in Corporate Bonds and Securitized Debt Instruments within 15 minutes of the trade on any of the stock exchanges (NSE, BSE and MCX-SX). These trades may be cleared and settled through any of the clearing corporations (NSCCL, ICCL and MCXSX CCL).

136. SPDs shall ensure that their investment policies are formulated after taking into account all the relevant issues specified in the guidelines on investment in non-G-Sec. They should put in place proper risk management systems for capturing and analysing the risk in respect of non-G-Sec before making investments and taking remedial measures in time. SPDs shall also put in place appropriate systems to ensure that investment in privately placed instruments is made in accordance with the systems and procedures prescribed under respective SPD’s investment policy.

137. Boards of the SPDs shall review the following aspects of investment in non-GSec at least at quarterly intervals:

(1) Total business (investment and divestment) during the reporting period.

(2) Compliance with the prudential limits as well as prudential guidelines prescribed by the Board for investment in non-G-Sec.

(3) Rating migration of the issuers / issues held in the SPD’s books.

138. In order to help creation of a central database on private placement of debt, a copy of all offer documents shall be filed with all the Credit Information Companies (CICs) by the SPDs. Further, any default relating to interest / instalment in respect of any privately placed debt shall also be reported to all CICs by the investing SPDs along with a copy of the offer document.

B.5 Investment / trading in equity and equity derivatives market

139. SPDs are permitted to take up trading and self-clearing membership with SEBI approved stock exchanges / clearing corporations for undertaking proprietary transactions in equity and equity derivatives market as permitted under paragraph 119 of these Directions. While doing so, SPDs shall comply with all the regulatory norms laid down by SEBI and all the eligibility criteria / rules of stock exchanges and clearing corporations.

B.6 Portfolio Management Services by SPDs

140. SPDs may offer Portfolio Management Services (PMS) to their clients under the SEBI scheme of PMS, subject to the following conditions:

(1) Before undertaking PMS, the SPD must have obtained the Certificate of Registration as Portfolio Manager from the SEBI and also a specific approval from the Reserve Bank.

(2) PMS cannot be offered to any RBI regulated entity. However, advisory services can be provided to them with suitable disclaimers.

(3) Where applicable, the clients regulated by any other authority should obtain clearance from the regulatory or any other authority before entering into any PMS arrangement with the SPD.

(4) SPDs are required to comply with the SEBI (Portfolio Managers) Regulations, 2020 and any amendments issued thereto or instructions issued there under.

141. SPDs shall adhere to the under noted conditions:

(1) A clear mandate from the PMS clients shall be obtained and the same shall be strictly followed. In particular, there should be full understanding on risk disclosures, loss potential and the costs (fees and commissions) involved.

(2) PMS shall be entirely at the customer's risk without guaranteeing, either directly or indirectly, any return.

(3) Funds / securities, each time they are placed with the SPD for portfolio management, shall not be accepted for a period less than one year.

(4) Portfolio funds shall not be deployed for lending in call / notice / term money / Bills rediscounting markets, badla financing or lending to / placement with corporate / noncorporate bodies.

(5) Client-wise accounts / records of funds accepted for management and investments made there against shall be maintained and the clients shall be entitled to get statements of account at frequent intervals.

(6) Investments and funds belonging to PMS clients shall be kept segregated and distinct from each other and from those of the SPD. As far as possible, all client transactions shall be executed in the market and not off-set internally, either with the SPD or any other client. All transactions between the SPD and any PMS client or between two PMS clients shall be strictly at market rates.

B.7 Trading of G-Sec on Stock Exchanges

142. With a view to encouraging wider participation of all classes of investors, including retail, in G-Sec, trading in G-Sec through a nationwide, anonymous, order driven screen based trading system on stock exchanges, in the same manner in which trading takes place in equities, has been permitted. Accordingly, trading of dated G-Sec in demat form is allowed on automated order driven system of the National Stock Exchange (NSE) of India, the Bombay Stock Exchange Ltd., Mumbai (BSE), the Over the Counter Exchange of India (OTCEI) and the MCX Stock Exchange. This trading facility is in addition to the reporting / trading facility in the NDS. Being a parallel system, the trades concluded on the exchanges will be cleared by their respective clearing corporations / clearing houses.

143. SPDs shall play an active role in providing liquidity to the G-Sec market and promote retailing. They shall, therefore, make full use of the facility to distribute G-Sec to all categories of investors through the process of placing and picking-up orders on the exchanges. SPDs may open demat accounts with a Depository Participant (DP) of NSDL / CDSL in addition to their accounts with RBI. Value free transfer of securities between SGL / CSGL and own demat account is enabled by PDO-Mumbai subject to guidelines issued by Department of Government and Bank Accounts (DGBA), RBI.

144. For trading of G-Sec on Stock Exchanges the following shall be adhered to by SPDs:

(1) SPDs shall take specific approval from their Board to enable them to trade in the Stock Exchanges.

(2) SPDs shall undertake transactions only on the basis of giving and taking delivery of securities.

(3) Brokers / trading members shall not be involved in the settlement process. All trades shall be settled either directly with clearing corporation / clearing house (in case they are clearing members) or else through clearing member custodians.

(4) The trades done through any single broker shall also be subject to the current regulations on transactions done through brokers.

(5) A standardized settlement on T+1 basis of all outright secondary market transactions in G-Sec has been adopted to provide the participants more processing time for transactions and to help in better funds as well as risk management.

(6) In the case of repo transactions in G-Sec, however, market participants will have the choice of settling the first leg on either T+0 basis or T+1 basis, as per their requirements.

(7) Any settlement failure on account of non-delivery of securities / non-availability of clear funds will be treated as SGL bouncing and the current penalties in respect of SGL transactions will be applicable. Stock Exchanges will report such failures to the respective PDOs.

(8) SPDs who are trading members of the Stock Exchanges may have to put up margins on behalf of their non-institutional client trades. Such margins are required to be collected from the respective clients. SPDs shall not pay up margins on behalf of their client trades and incur overnight credit exposure to their clients. In so far as the intraday exposures on clients for margins are concerned, the SPDs shall be conscious of the underlying risks in such exposures.

(9) SPDs who intend to offer clearing / custodial services shall take specific approval from SEBI in this regard. Similarly, SPDs who intend to take trading membership of the Stock Exchanges shall satisfy the criteria laid down by SEBI and the Stock Exchanges.

B.8 Participation of SPDs in Currency Futures Market

145. SPDs are permitted to deal in currency futures contracts traded on recognized exchanges subject to the following conditions:

(1) Eligibility

(i) Exposure to currency futures shall be treated as a non-core activity for SPDs and only SPDs having a minimum Net Owned Fund of ₹250 crore or any amount as prescribed for undertaking diversified activity shall be allowed to participate in currency futures.

(ii) As prescribed in the Directions on capital requirements, the capital charge for market risk for the non-core activities (including currency futures) which are expected to consume capital shall not be more than 20 percent of the NOF as per last audited balance sheet (i.e., limit as specified in paragraph 102 of these Directions).

(iii) SPDs shall be guided by the instructions specified in Master Direction - Risk Management and Inter-Bank Dealings dated July 05, 2016 (as amended from time to time), to the extent applicable to SPDs.

(2) Membership: SPDs are permitted to participate in the currency futures market either as clients or direct trading / clearing members of the currency derivatives segment of the Stock Exchanges recognized by SEBI.

(3) Position limits: SPDs are permitted to take long and short positions in the currency futures market with or without having an underlying exposure subject to the position limits specified by the exchanges. However, the aggregate gross open positions across all contracts in all the stock exchanges in the respective currency pairs shall not exceed the limits as mentioned below:

Currency Pairs Position Limits
USD-INR Gross open position across all contracts shall not exceed 15 per cent of the total open interest or USD 50 million, whichever is higher.
EUR-INR Gross open position across all contracts shall not exceed 15 per cent of the total open interest or EUR 25 million, whichever is higher.
GBP-INR Gross open position across all contracts shall not exceed 15 per cent of the total open interest or GBP 25 million, whichever is higher.
JPY-INR Gross open position across all contracts shall not exceed 15 per cent of the total open interest or JPY 1000 million, whichever is higher.

(4) Risk Management

(i) SPDs shall lay down detailed guidelines on risk management including exposure, risk limits and reporting requirements with Board's approval for conduct of this activity and management of risks.

(ii) SPDs shall put in place appropriate system to ensure strict adherence to the above prescribed position limits.

(iii) SPDs shall maintain adequate infrastructure in terms of systems and manpower for participation in currency futures.

(5) General

(i) For capital adequacy purpose, SPDs shall adhere to the guidelines given in paragraphs 18 to 94 of these Directions and other instructions prescribed in these Directions for providing capital charge for various risks arising from outstanding contracts. Since currency futures contracts would be subject to CCP clearing of the authorised stock exchanges, capital charge for credit risk shall be calculated as per methodology prescribed for calculation of capital charge for exposure towards CCP in paragraph 52 to 64 of these Directions. The Credit Conversion Factor to be used for exchange rate contracts shall be as per paragraph 65 to 67 of these Directions. Further, as prescribed in the existing capital adequacy guidelines, the capital charge for market risk in foreign exchange shall be worked out by the standardised approach and the internal risk management framework-based Value at Risk (VaR) model, and the capital charge for market risk shall be higher of the two requirements. Under the standardised approach, SPDs shall calculate the capital charge for market risk in foreign exchange exposures as per instructions contained in paragraph 92 to 93. The capital charge for market risk shall be over and above the capital charge for credit risk, maintained as per instructions in these Directions.

(ii) In case of failure to meet the obligations of Primary Dealership business in the Government securities market or any other violations leading to supervisory concern, the Bank reserves the right to impose restrictions or withdraw permission to deal in currency futures contracts.

B.9 Foreign exchange business

146. SPDs are permitted to offer all foreign exchange market-making facilities to users, as currently permitted to Category-I Authorized Dealers, subject to adherence to the following prudential and other regulations / guidelines applicable to them. Such activities shall be part of their non-core activities. The SPDs shall adhere to the following prudential regulations:

(1) SPDs, while calculating the total risk weighted assets, shall include the forex exposures for maintenance of minimum Capital to Risk-Weighted Assets Ratio (CRAR) of 15 percent on an ongoing basis. The capital charge for credit risk shall be arrived as per the instructions contained in Paragraphs 65 to 67 of these Directions.

(2) As prescribed in the existing capital adequacy guidelines, the capital charge for market risk in foreign exchange exposures shall be higher of the charges worked out by the standardised approach and the internal risk management framework-based Value at Risk (VaR) model. Further, under the standardised approach, SPDs shall maintain the capital charge for market risk in foreign exchange exposures as per instructions contained in paragraphs 92 and 93 of these directions. The capital charge for market risk shall be over and above the capital charge for credit risk, maintained as per instructions in these Directions.

(3) In addition to the foreign exchange exposure limits prescribed under Master Direction – Risk Management & Inter-Bank Dealings dated July 05, 2016 (as amended from time to time), the capital charge for market risk for all the permissible non-core activities, including foreign exchange activities, shall not be more than 20 per cent of the NOF of the SPD as per last audited balance sheet (i.e., limit as specified in paragraphs 104 of these Directions).

147. With effect from January 01, 2023 all financial transactions involving the Rupee undertaken globally by related entities of the SPDs shall be reported to CCIL’s Trade Repository before 12:00 noon of the business day following the date of transaction.

148. SPDs desirous of undertaking foreign exchange market-making facilities may approach the Reserve Bank of India, Foreign Exchange Department, Central Office, Mumbai for the necessary authorization.

149. While offering foreign exchange market-making facilities to users, SPDs shall comply with the provisions of the Foreign Exchange Management Act 1999, and all rules, regulations and directions issued thereunder; and also, the following directions, to the extent applicable, in respect of foreign exchange products allowed to them:

(1) Master Direction on Risk Management and Inter-Bank Dealings, as amended from time to time.

(2) Master Direction – Reserve Bank of India (Market-makers in OTC Derivatives) Directions, 2021, as amended from time to time, and

(3) Guidelines for Internal Control over Foreign Exchange Business (FE.CO.FMD.No.18380/02.03.137/2010-11 dated February 3, 2011), as amended from time to time.

150. SPDs shall frame a Board approved policy to undertake and monitor the foreign exchange business.

151. It may be noted that in case of failure of SPDs to meet the obligations of Primary Dealership (PD) business in the Government securities market or any other violations on regulations on conducting the PD business, the Reserve Bank reserves the right to impose restrictions or withdraw permission to undertake the foreign exchange business.

B.10 Distribution of mutual fund units

152. SPDs registered with the Bank are allowed to distribute mutual fund products subject to compliance with the SEBI guidelines/ regulations, including its code of conduct, for distribution of mutual fund products. SPD shall refer paragraphs 50 to 51 of Reserve Bank of India (Non-Banking Financial Companies – Undertaking of Financial Services) Directions, 2025.

B.11 Distribution of Insurance products

153. For distribution of insurance products, SPDs are advised to make an application along with necessary particulars duly certified by their statutory auditors to the Regional Office of Department of Supervision under whose jurisdiction the registered office of the SPD is situated. SPDs may take up insurance agency business on fee basis and without risk participation, without the approval of the Bank subject to the certain eligibility conditions. SPD shall refer paragraphs 26 to 33 of Reserve Bank of India (Non-Banking Financial Companies – Undertaking of Financial Services) Directions, 2025.

Chapter V – Other Prudential Regulations

A. Accounting Standards

154. SPDs, shall refer to the instructions as prescribed in paragraphs 10 to 12 of Reserve Bank of India (Non-Banking Financial Companies – Financial Statements: Presentation and Disclosures) Directions, 2025, paragraph 16 of Reserve Bank of India (Non-Banking Financial Companies – Prudential Norms on Capital Adequacy) Directions, 2025 and paragraph 34 to 36 of Reserve Bank of India (Non-Banking Financial Companies – Income Recognition, Asset Classification and Provisioning) Directions, 2025.

B. Accounting Standards for securities transactions

155. All securities in trading portfolio shall be marked to market, at appropriate intervals.

156. Costs such as brokerage fees, commission or taxes incurred at the time of acquisition of securities, are of revenue / deferred nature. The broken period interest received / paid also gets adjusted at the time of coupon payment. SPDs have to ensure that the accounting method as per applicable accounting standards shall be true and fair and shall not result in overstating the profits or assets value. It shall be followed consistently and be generally acceptable especially to the tax authorities.

157. Broken period interest paid to seller as part of cost on acquisition of Government and other securities shall not be capitalized but treated as an item of expenditure under Profit and Loss Account. The SPDs may maintain separate adjustment accounts for the broken period interest.

158. The valuation of the securities portfolio shall be independent of the dealing and operations functions and shall be done by obtaining the prices declared by FIMMDA / FBIL periodically.

C. Exposure Norms

159. The extant exposure norms for SPDs are as follows:

(1) The exposure shall not exceed 25 per cent of Tier 1 capital as per last audited accounts in case of a single borrower / counterparty and 40 per cent of Tier 1 capital in case of a group borrower / counterparty except for investments in AAA rated corporate bonds wherein exposure shall not exceed 50 per cent of Tier 1 capital as per last audited accounts in case of a single borrower / counterparty and 65 per cent of Tier 1 capital in case of a group borrower / counterparty.

(2) The ceilings on single / group exposure limit shall not be applicable where principal and interest are fully guaranteed by the Government of India.

(3) SPDs shall include credit risk exposures to all other categories of non-Government securities including investments in mutual funds, commercial papers, certificate of deposits, positions in OTC derivatives not settled through Qualifying CCP (QCCP) etc. to compute extent of credit exposure to adhere to the prescribed prudential limits.

(4) Clearing exposure to a QCCP shall be kept outside of the exposure ceiling of 25 per cent of its Tier 1 capital applicable to a single counter party.

(5) Clearing exposure to QCCP shall include trade exposure and default fund exposure as defined in Paragraph 52 of these Directions.

(6) Other permissible exposures to QCCPs such as investments in the capital of CCP etc. shall continue to be within the existing exposure ceiling of 25 per cent of Tier 1 capital to a single borrower / counterparty. However, all exposures of SPD to a non-QCCP shall be within the exposure ceiling of 25 per cent.

(7) 2[The applicable Tier 1 Capital for compliance with the norms stated in sub-paragraphs 159(1) to 159(6) above, shall be determined based on the SPD’s latest available financial statements (audited or subject to limited review).]

(8) 3[In this context, the term “Tier 1 Capital” shall be as defined in paragraph 9(6) of the Master Directions.]

160. SPDs shall calculate exposure for various items as per the Directions contained in chaper III of these Directions. Aggregate exposure to a counterparty comprising both on and off-balance sheet exposures shall be calculated based on the method prescribed for capital computation in these Directions; i.e., on-balance sheet exposures shall be reckoned at the outstanding amount while the off-balance sheet exposures shall be converted into credit risk equivalent by applying the credit conversion factor prescribed under capital requirements.

Note:

(a) Aggregate exposure shall be as per the instructions issued vide paragraph 20-21 of Reserve Bank of India (Non-Banking Financial Companies – Concentration Risk Management) Directions, 2025.

(b) With regards to outstanding amount, netting is allowed only for assets where provisions for depreciation or for bad and doubtful debts have been made.

D. Declaration of dividend

161. SPDs shall refer to Reserve Bank of India (Non-Banking Financial Companies - Prudential Norms on Declaration of Dividends) Directions, 2025.

Chapter VI – Governance Issues – Corporate Governance

A. Change in shareholding pattern

162. SPDs shall ensure compliance to the instructions as specified in the paragraph 6(4), 11, 12, and 13 of Reserve Bank of India (Non-Banking Financial Companies – Acquisition of Shareholding or Control) Directions, 2025.

B. Experience of the Board

163. SPD shall refer to the instructions as prescribed in paragraph 8 of Reserve Bank of India (Non-Banking Financial Companies – Governance) Directions, 2025.

C. Constitution of Committees of the Board

164. SPD shall refer to the instructions as prescribed in paragraph 17 of Reserve Bank of India (Non-Banking Financial Companies – Governance) Directions, 2025.

D. Nomination and Remuneration Committee

165. SPD shall refer to the instructions as prescribed in paragraph 18 of Reserve Bank of India (Non-Banking Financial Companies – Governance) Directions, 2025.

E. Risk Management Committee

166. SPD shall refer to the instructions as prescribed in paragraph 9 of Reserve Bank of India (Non-Banking Financial Companies – Governance) Directions, 2025.

F. Fit and Proper Criteria

167. SPD shall refer to the instructions as prescribed in paragraph 12, 13 of Reserve Bank of India (Non-Banking Financial Companies – Governance) Directions, 2025.

G. Key Managerial Personnel

168. SPD shall refer to the instructions as prescribed in paragraph 26 of Reserve Bank of India (Non-Banking Financial Companies – Governance) Directions, 2025.

H. Independent Director

169. SPD shall refer to the instructions as prescribed in paragraph 27 and 28 of Reserve Bank of India (Non-Banking Financial Companies – Governance) Directions, 2025.

I. Guidelines on Compensation of Key Managerial Personnel (KMP) and Senior Management in SPDs

170. SPD shall refer to the instructions as prescribed in paragraph 29 to 37 of Reserve Bank of India (Non-Banking Financial Companies – Governance) Directions, 2025.

J. Disclosure and transparency

171. SPDs shall refer to the instructions prescribed in paragraph 15 of Reserve Bank of India (Non-Banking Financial Companies – Governance) Directions, 2025.

172. SPDs shall refer to Disclosure requirements as prescribed in Reserve Bank of India (Non-Banking Financial Companies – Financial Statements: Presentation and Disclosures) Directions, 2025.

173. SPDs shall publish their audited annual results in leading financial dailies and on their website in the format prescribed (Annex III). The following minimum information shall be included by way of notes on accounts to the Balance Sheet:

(1) Net borrowings in call (average and peak during the period),

(2) Basis of valuation,

(3) Leverage Ratio (average and peak),

(4) CRAR (quarterly figures), and

(5) Details of the issuer composition of non-G-Sec investments.

(6) SPDs may also furnish more information by way of additional disclosures.

174. In respect of penalty levied by the Bank, a Press Release will be issued by the Reserve Bank, giving details of the circumstances under which the penalty is imposed on the SPD along with the communication on the imposition of penalty in public domain.

K. Appointment of Statutory Central Auditors/Statutory Auditors

175. SPDs shall refer to paragraph 8 of Reserve Bank of India (Non-Banking Financial Companies – Miscellaneous) Directions, 2025.

L. Framing of Internal Guidelines

176. SPDs shall refer to paragraph 42 of Reserve Bank of India (Non-Banking Financial Companies - Governance) Directions, 2025.

Chapter VII – Miscellaneous Instructions

A. Business through brokers

177. Business through brokers and limits for approved brokers : SPDs may undertake securities transactions among themselves or with clients through the members of the BSE, NSE and OTCEI. However, if the SPDs undertake OTC interest rate derivative transactions through brokers, they shall ensure that these brokers are accredited by FIMMDA. SPDs shall fix aggregate contract limits for each of the approved brokers. A limit of five per cent of total broker transactions (both purchase and sales) entered into by SPD during a year shall be treated as the aggregate upper limit for each of the approved brokers. However, if for any reason it becomes necessary to exceed the aggregate limit for any broker, the specific reasons thereof shall be recorded and the Board shall be informed of this, post facto.

178. With the approval of their top management, SPDs shall prepare a panel of approved brokers, which shall be reviewed annually or more often if so warranted. Clear-cut criteria shall be laid down for empanelment of brokers, including verification of their creditworthiness, market reputation, etc. A record of broker-wise details of deals put through and brokerage paid, shall be maintained.

179. Brokerage payable to the broker, if any (if the deal was put through with the help of a broker), shall be clearly indicated on the notes/memorandum put up seeking approval for putting through the transaction, and a separate account of brokerage paid, broker-wise, shall be maintained.

180. The role of the broker shall be restricted to that of bringing the two parties to the deal together. Settlement of deals between SPDs and counterparties shall be directly between the counterparties and the broker will have no role in the settlement process.

181. While negotiating the deal, the broker is not obliged to disclose the identity of the counterparty to the deal. On conclusion of the deal, he should disclose the counterparty and his contract note should clearly indicate the name of the counterparty.

B. Applicability of Know Your Customer (KYC) Direction, 2016

182. All SPDs having customer interface shall refer Reserve Bank of India (Non-Banking Financial Companies – Know Your Customer) Directions, 2025.

C. Managing Risks and Code of Conduct in Outsourcing of Financial Services by SPDs

183. SPDs shall conduct a self-assessment of their existing outsourcing arrangements and bring these in line with the directions as provided at Reserve Bank of India (Non-Banking Financial Companies – Managing Risks in Outsourcing) Directions, 2025.

D. Technical Specifications for all participants of the Account Aggregator ecosystem

184. SPDs shall refer to paragraphs 14 and 15 of Reserve Bank of India (Non-Banking Financial Companies – Miscellaneous) Directions, 2025.

Chapter VIII – Reporting Requirements

185. The reporting requirements as prescribed by Internal Debt Management Department and Department on Supervision shall be adhered to by the SPDs.

186. All operational guidelines issued by Internal Debt Management Department shall also be adhered to by the SPDs.

Chapter IX – Repeal and Other Provisions

A. Repeal and saving

187. With the issue of these Directions, the existing Directions, instructions, and guidelines as applicable to Standalone Primary Dealers stand repealed, as communicated vide circular DOR.RRC.REC.302/33-01-010/2025-26 dated November 28, 2025. The Directions, instructions and guidelines already repealed shall continue to remain repealed.

188. Notwithstanding such repeal, any action taken or purported to have been taken, or initiated under the repealed Directions, instructions, or guidelines shall continue to be governed by the provisions thereof. All approvals or acknowledgments granted under these repealed lists shall be deemed as governed by these Directions. Further, the repeal of these directions, instructions, or guidelines shall not in any way prejudicially affect:

(a) any right, obligation or liability acquired, accrued, or incurred thereunder;

(b) any, penalty, forfeiture, or punishment incurred in respect of any contravention committed thereunder;

(c) any investigation, legal proceeding, or remedy in respect of any such right, privilege, obligation, liability, penalty, forfeiture, punishment as aforesaid; and any such investigation, legal proceedings or remedy may be instituted, continued, or enforced and any such penalty, forfeiture or punishment may be imposed as if those directions, instructions, or guidelines had not been repealed.

B. Application of other laws not barred

189. The provisions of these Directions shall be in addition to, and not in derogation of the provisions of any other laws, rules, regulations, or directions, for the time being in force.

C. Interpretations

190. For the purpose of giving effect to the provisions of these Directions or in order to remove any difficulties in the application or interpretation of the provisions of these Directions, the RBI may, if it considers necessary, issue necessary clarifications in respect of any matter covered herein and the interpretation of any provision of these Directions given by the RBI shall be final and binding.

(J P Sharma)
Chief General Manager


1 Inserted with effect from March 10, 2026, vide Reserve Bank of India (Standalone Primary Dealers) Amendment Directions, 2026 dated March 10, 2026.

2 Inserted with effect from March 10, 2026, vide Reserve Bank of India (Standalone Primary Dealers) Amendment Directions, 2026 dated March 10, 2026.

3 Inserted with effect from March 10, 2026, vide Reserve Bank of India (Standalone Primary Dealers) Amendment Directions, 2026 dated March 10, 2026.